Alevel数学考试知识点总结
由于在国内初高中的学习中,微积分只占了少部分的比重,导致一部分同学在学习时没有基础。又由于它的学习确实存在一定的难度,A-Level数学中的微积分内容一直以来都是同学们学习路上的“拦路虎”,所以今天给大家系统的梳理一下积分的方法。
Part.1
熟练的积分Standard function。
这里的Standard function指的就是我们在微积分学习中需要掌握的不做任何变形标准函数,比如幂函数,指对数函数,三角函数等。这部分只要同学们在微分学习时没有问题就足以应付,完全是微分过程的逆运算。
Part.2
积分标准函数的线性形式。
当积分函数的变量由x变成它的线性形式ax+b时,它的积分形式就只需将答案除以a就可以,这时也要保证积分前后表达式的一致性。
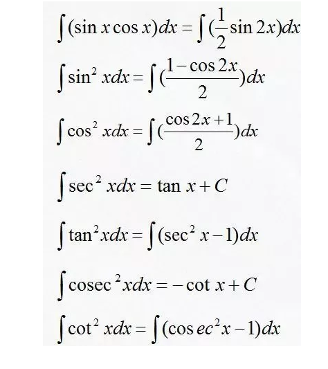
Part.3
先通过三角函数恒等式处理积分表达式,使之简化,进而利用已知方法求解。
同样的,当积分表达式中含有Improper fraction时,我们就需要利用以下方法化简表达式:
Improper fraction → proper fraction →partial fraction.进而求解积分形式。
Part.4
积分Standard Patterns。
这里给大家三个形式,遇到符合的积分表达式,利用以下公式即可求解。
Part.5
换元法进行积分
当积分表达式中含有根式,分式等形式时,可以利用换元法进行积分,试题中一般会指定表达式中的某一部分作为替换的部分。在利用换元法做定积分题目时一定要注意更改相应的定积分上下限。
Part.6
分部积分
当我们遇到两部分函数相乘的形式作为被积函数,可以考虑使用分部积分的方法。注意选择合适的部分作为公式的u,另一部分即为dv/dx。换元法和分部积分法在考试中都有可能会用两次,同学们需要多加注意。
以上就是给大家总结梳理的积分方法,大家根据以上内容,勤加练习,相信一定可以攻克这部分难题。

喜欢 [0]