高分锦囊,考前必看。历年考试常见的Alevel数学公式汇总..

学习方法       时间:2020-01-06 13:21

数学学习主要以理解和应用为主,但深入理解和灵活应用是建立在掌握必备的基础知识和常用基本的ALevel数学公式的前提上的,如果基础工作没做好,数学学习就变得举步维艰,而且稍微不留意就可能会崩,就好比一栋大厦没打好地基一样。

同学们经过长时间的备考,基础知识方面应该是没有什么大问题了,而且考试在即,我们不可能把所有基础知识再详细刷一遍。但花一点时间,再温故一下考试常用公式是完全可以的,甚至只需要忙里偷闲地花上几分钟就OK了。

考试在即,分秒必争。今天李老师将给大家梳理并汇总了一些考试中常见的ALevel数学公式,希望可以帮助同学们进一步巩固并充分理解相关知识点。

01


Trigonometry


1 Addition formula

cos(α+β)=cosα·cosβ-sinα·sinβ

cos(α-β)=cosα·cosβ+sinα·sinβ

sin(α±β)=sinα·cosβ±cosα·sinβ

tan(α+β)=(tanα+tanβ)/(1-tanα·tanβ)

tan(α-β)=(tanα-tanβ)/(1+tanα·tanβ)

2 Double-angle formula

sin(2α)=2sinα·cosα=2/(tanα+cotα)

cos(2α)=(cosα)^2-(sinα)^2=2(cosα)^2-1=1-2(sinα)^2

tan(2α)=2tanα/(1-tan^2α) 

3 Simplify Asinα+Bcosα

4 Identity

sina)^2+(cosa)^2=1

1+(tana)^2=(seca)^2

1+(cota)^2=(csca)^2

关于trigonometry这部分在考prove 证明题,solve equation解方程的题的时候能够熟练运用以上公式是非常重要的,很多学生都是第一问不能show出结果,导致耽误时间过长影响整场考试,所以这部分一定要找老师多要练习题,把书上每一道题都弄懂。




02


Differenntiation





Addition rule


Product rule

Quotient rule




03


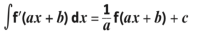
integration 



Integration这里同样重要的是求积分的五种方法

a


b

using trigonometry(这部分需要注意的同样会应用到trigonometry identities)

c

reverse chain rule

其中包含两种情况

d  

by substitution (这部分在考试中会告诉你用什么去替换)

for example


integration by parts

calculus这部分是整个normal math数学中最难的一部分。

以上分享的ALevel公式同学们都能看懂吗?或者都掌握了吗?如果发现有哪里看不懂一定要及时查阅笔记,或者尽快联系我们,老师们将为你详细解答。最后预祝同学们在即将迎来的A2数学考试中都能斩获高分。


 

 喜欢 [0]
相关推荐
考试
alevel数学课程提升
学习方法       2024-08-06
考试
"A+未来:A-Level物理考试致胜技巧"
学习方法       2024-08-05
在线客服系统